| Sign In | Join Free | My chinalane.org |
|
Brand Name : TSTLP
Model Number : SMT-ESE30/SLC3D
Certification : Patent Right / CE
Place of Origin : Guangdong, P.R.C.
MOQ : Negotiable
Price : Negotiable if good quantity
Packaging Details : 230x230x450mm colorful box/pc, and 4 pcs in 490x500x500mm carton
Delivery Time : Around 7 working days upon receipt of payment
Payment Terms : 100% TT / LC / Western Union / MoneyGram / WeChat Transfer / Alipay / Wanda Money Transfer / Cash ahead
Supply Ability : 1000 pcs/month
Type : ESE Lightning Arrester
Efficiency : 30μs in advance
Colour : SS
lightning current withstanding : ≥ 200kA
Standards : UNE 21.186:2011 Paragraph C
Weight(kg) : 3
TSTLP SMT-ESE30 Ese Lightning Arrester Price More Competitive
Features:
TSTLP ESE lightning ese lightning arrester works ?

| Brand | TSTLP | |||
| ESE Lightning Arrester model | SMT-ESE30 | |||
| Patent Num | Available as request | |||
| Efficiency (ΔT μs) | 30 | |||
| Lightning current withstanding test Iimp | 100kA (normative test at 10/350μs waveform as standard requires) | |||
| Lightning current withstanding Iimp | ≥ 200kA (10/350 μs) | |||
| Capacity against wind speed | ≥144 kilometer/hour | |||
| Dimension(Length:) | 418 | |||
| Approx net weight | 3000g | |||
| Metal Housing | Superior Quality SS | |||
| Technical Standards | NF C 17-102_2011 Annexe C | |||
| UNE 21.186:2011 Paragraph C | ||||
| IEC 60060-1:2010 Part 1 | ||||
| EN 60060-1:2010 | ||||
| GB/T T16927.1-2011 Part 1; | ||||
| HS code for ese lightning arrester | 8535400000 | |||

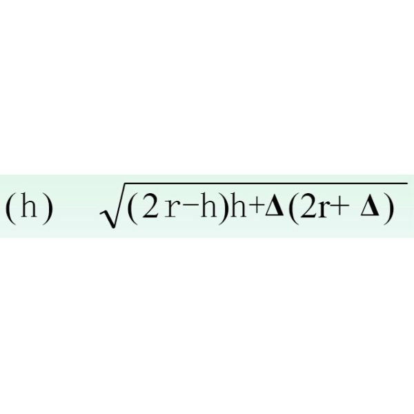
The protection radius of TSTLP ese lightning arrester is related to its height (h) relative to the surface to be protected, to its efficiency and to the selected protection level
for h ≥ 5 m;

and
Rp = h × Rp(5)/5 for 2 m ≤ h ≤ 5 m
Rp (h) (m): is the protection radius at a given height h
h (m) : is the height of the ESE lightning arrester tip over the horizontal plane through the furthest point of the object to be protected
r (m) : 20 m for protection level 1
30m for protection level 2
45m for protection level 3
60m for protection level 4
Δ (m) = ΔT x 106
Field experience has proved that Δ is equal to the efficiency obtained during the ESE lightning arrester evaluation tests


1 - Are you just trader or ese lightning arrester manufacturer for above ?
- ese lightning arrestor manufacturer
Download PDF 2020 TSTLP ESE Lightning Rod Catalogue @ http://www.ese-lightningrod.comhttps://drive.google.com/file/d/1kEW-pWdJdlArVgfrHutq62k9HsVNcHq-/view?usp=sharing
PDF Datasheet Download - TSTLP SMT-ESE30.pdf
Tag: ese lightning arrester, ese lightning arrester price
|
|
TSTLP SMT-ESE30 Ese Lightning Arrester Robust To Withstand Multiple Lightning Strikes Images |